이우의 개발일지
보간법(Interpolation) - 선형, 다항식, 스플라인 보간법 본문
보간법이란?
연속적 변수 가운데 어느 간격을 둔 두 개 이상의 값을 알고, 그것들을 만족시키는 어느 함수의 형을 정하며 그 사이의 변숫값에 대한 함수의 값을 구하는 근사 계산법.
즉, 우리가 주어진 값으로 임의의 값을 예측할 때 쓰는 방법을 보간법이라고 합니다.
가장 단순하게 알려진 것이 바로 '선형 보간법'인데요.
선형보간법이란?

선형 보간법(線型補間法, linear interpolation)은 끝점의 값이 주어졌을 때 그 사이에 위치한 값을 추정하기 위하여 직선 거리에 따라 선형적으로 계산하는 방법이다.
다항식 보간법이란?
2차 이상의 다항식을 보간법을 이용해서 찾는 것인데, (n+1)개의 점을 지나는 다항식은 n차 이하의 유일한 다항식으로 표시가 가능하다.
미정계수법
다항식을 찾아내는 가장 보편적인 방법
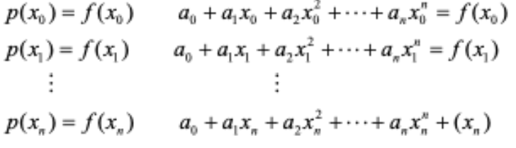
보간 다항식을 p(x) = a0+a1*x+a2*x^2+⋅⋅⋅+an*x^n라고 하면 주어진 점에서 다음과 같은 관계가 성립

이 식들을 행렬로 표현

이를 Gauss 소개법등으로 계산하여a0 ,a1,⋅⋅⋅,an을 구하면 됨.
이외에도, Lagrange를 이용한 다항식 보간법이 존재합니다.
스플라인 보간법
스플라인 보간법(Spline Interpolation)은 전체 구간을 소구간별로 나누어 저차수의 다항식으로 매끄러운 함수를 구하는 방법이다. 구간별 다항식 보간법(Piecewise Polynomial Interpolation) 이라고도 한다.


보시는 바와 같이 왼쪽에 있는 점들을 스플라인 보간법을 통해서 부드러운 곡선처럼 오른쪽 그림으로 변경해줄 수 있습니다.
곡선을 표현할 때는 스플라인 보간법을 쓰는게 좋겠죠?